製剤に陽イオン性脂質を選択する際に考慮すべきこと
陽イオン性脂質は、核酸デリバリー用の脂質ナノ粒子(LNP)製剤の主要成分
核酸は陰イオン(負に帯電した)分子であるため、デリバリー媒体に封入するためには、正に帯電した(陽イオン)成分を必要とします。陽イオン性脂質は負に帯電した核酸と結合して封入を促進するとともに、細胞膜と相互作用して核酸を細胞にデリバリーするのを助けます。Croda Pharma事業の脂質技術部門であるAvantiは、固定型、電離性型、多価型といった数種類の陽イオン性脂質を提供しています。ここでは、陽イオン性脂質を選ぶ際に、それぞれのタイプについて考慮すべき点をいくつか挙げます。
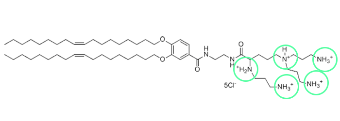
多価陽イオン性脂質

MVL5の場合、正電荷は5です(緑色で表示)。
多価陽イオン性脂質は固定陽イオン性脂質に似た面もありますが、構造上の違いは分子内の正電荷の数です。Avantiの固定陽イオン性脂質は単一の正電荷を持ちますが、多価陽イオン性脂質は分子全体に複数の正電荷を持ちます。MVL5(5つの正電荷)のような多価陽イオン性脂質は、特にsiRNAのデリバリーなどの用途において、固定陽イオン性脂質と比べてメリットがいくつかあります。場合によっては、製剤に必要な多価陽イオン性脂質の量は、必要とされる固定陽イオン性脂質の量の3分の1から5分の1です。多量の固定陽イオン性脂質は毒性があるため、一般に、必要な多価陽イオン性脂質の量が少ないほど、毒性の低い製剤となります。多価陽イオン性脂質では、固定陽イオン性脂質製剤と比較して、siRNAの封入効率も向上します。多価陽イオン性脂質に関して、詳しくはこちらをクリックしてください。
イオン化脂質

イオン化の中心(緑色で表示)は、生物学的環境とそのpHによって、中性または正に帯電します。
陽イオン性脂質は、LNPにおいて効率的にその役割を果たすように、見かけの酸解離定数(pKa)が適切になるように設計しなければなりません。陽イオン性脂質の見かけのpKaは、LNP表面でのpKaと考えられます。現在、FDA承認済み治療薬に含まれる陽イオン性脂質は、いずれも見かけのpKaが6~7です。このことは、陽イオン性脂質が全身循環中で中性電荷を維持し(脂質のpKaを上回るpH、pH約7.5)、エンドソームで正電荷を帯びて(pH約6.5)膜融合とそれに続く細胞質への放出を促進する能力にとって極めて重要です。
イオン化脂質のpKaは重要ですが、それだけではなく、脂質の分子形状も重要です。イオン化脂質は、円筒形のものより円錐形のものの方がメリットがあります。円錐形は脂質二重層との適合性が低く、エンドソーム膜を不安定化させて核酸内容物の細胞基質への放出をさらに促進します。
イオン化脂質は一般的に、固定陽イオン性脂質よりも毒性が低いと考えられており、より高いペイロードのデリバリーが要求される用途で使用されます。
Avantiはいくつかのイオン化脂質を提供しています。製品の詳細については、こちらをクリックしてください。
カチオン性脂質

カチオン性脂質は、生物学的環境によって変化しない単一の正電荷(緑色で表示)を持ちます。
カチオン性脂質は、その生物学的環境のpHに関係なく、恒常的に正の荷電を帯びています。陽イオン性脂質は、典型的な頭部が陽イオン性頭部に置き換わっている点を除けば、他の天然脂質と類似しています。
カチオン性脂質は、陽イオン性リポソーム(CL)やLNPにおいて優れた導入剤であることが証明されています。これらの脂質は一般的に低濃度では無毒と考えられていますが、四置換アンモニウム部分があるため、高濃度で使用するとある程度の毒性が懸念されます。
カチオン性脂質は一般に、イオン化脂質の代替品として、より安価で容易に入手できます。歴史的には、カチオン性脂質の方がより広く研究されてきたため、その使用を裏付けるデータが大量に取得されてきました。DNAのデリバリーや、必要なペイロードがより少ないsiRNAやsaRNAのデリバリーに多く使われます。siRNAやsaRNAの場合、ペイロードを減らすことでも、必要な陽イオン性脂質の量を減らし、毒性の副作用の可能性も低下させることができます。
Avantiは、DOTMAやDOTAPといった実績のあるカチオン性脂質を幅広く提供していますが、新規かつ革新的な陽イオン性脂質も絶えず追加しています。クローダのカチオン性脂質製品は核酸デリバリー研究に貢献いたします。
Avanti-高度に特殊化したカスタムメイドの脂質
Avanti Polar Lipidsが開発する高純度の極性脂質は、複雑な治療薬のデリバリーシステムや次世代mRNAワクチンに使用されています。これらは、リン脂質、陽イオン性脂質、PEG脂質、ステロールなどの膨大なポートフォリオを持つ、脂質ナノ粒子(LNP)デリバリー技術に使用される高度に特殊化された脂質です。
Avantiには、さまざまな医薬品用途に向けたカスタムの脂質ベースドラッグデリバリーシステムを開発する製剤部門があり、脂質の開発、cGMP下でのスケールアップと製造に関する豊富な専門知識を有しています。


